5 Card Poker Probability Calculator - Draw Poker Sites Best Places To Play Draw Poker Online

5 Card Poker Probability Calculator - Draw Poker Sites Best Places To Play Draw Poker Online. Using the combinations formula 52 choose 5 shown here, we get: First calculate the total number of possible hands in a 52 card deck: How to mathematically determine the chance of getting a four of a kind in 5 card poker. Without betting, the basic rules of 5 card draw poker are as follows: The cards that make up the winner's best poker hand are also highlighted in yellow on the table.

An odds calculator is a handy tool for all poker players to quickly get the right probabilities for any scenario at the table. However, you have a shortcut to apply correct poker math on the go and quickly calculate the probability of hitting your hand while playing. Below, we calculate the probability of each of the standard kinds of poker hands. All 1 suit, 2 different suits, 3 different suits or 4 different suits. The results were gathered and the outcome is the book (draw poker odds:

Here S How Likely Each Poker Hand Is
Here S How Likely Each Poker Hand Is from i.insider.com
In the standard game of poker, each player gets 5 cards and places a bet, hoping his cards are better than the other players' hands. The poker calculator (five cards) provides all the equations, the calculations, to determine the probabilities of success and failure when playing poker with a standard five card deck. Calculate the probability of drawing a akkqj first calculate the total number of possible hands in a 52 card deck: See the notes page for an explanation of how to apply all the probabilities. Hence a standard deck contains 13·4 = 52 cards. Without betting, the basic rules of 5 card draw poker are as follows: Calculate the probability of 3 of a kind: There is quite an easy way to get the answer very fast and we can call it the rule of 2 and 4.

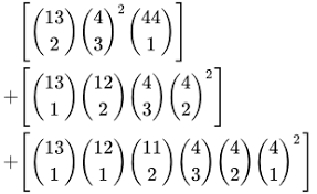
Thus this is primarily a counting exercise.

Using the combinations formula 52 choose 5 shown here, we get: The cards that make up the winner's best poker hand are also highlighted in yellow on the table. All 1 suit, 2 different suits, 3 different suits or 4 different suits. From a deck of 52 cards, we want the number of possible unique ways we can choose 5 cards. Without betting, the basic rules of 5 card draw poker are as follows: A straight this is five cards in a sequence (e.g., 4,5,6,7,8), with aces allowed to be either 1 or 13 (low or high) and with the cards allowed to be of the same suit (e.g., all hearts) or from some different suits. Hence a standard deck contains 13·4 = 52 cards. The mathematics of classical poker) (see the books section) and a software (draw poker odds calculator 1.1). When playing a game with high stakes, players wanted to know what the chance of winning would be.in 1494, fra luca paccioli released his work summa de arithmetica, geometria, proportioni e proportionalita which was the. Below, we calculate the probability of each of the standard kinds of poker hands. The deal can rotate clockwise among the players so that each person has a turn at dealing. Using the combinations formula 52 choose 5 shown here, we get: The odds of winning are calculated with a precise statistical method to ensure the results are correct.

However, you have a shortcut to apply correct poker math on the go and quickly calculate the probability of hitting your hand while playing. The software is based on the formulas from the book and is the first poker odds calculator that uses compact probability formulas instead of partial simulations. Given a 5 card poker hand from a standard deck, i'm looking to calculate the probability of getting: Every card has a suit and value, and every combination is possible. Calculate the probability of drawing a akkqj first calculate the total number of possible hands in a 52 card deck:

Poker Calculator Five Card
Poker Calculator Five Card from www.vcalc.com
If you are going to write any type of equity calculator, game, or bot this is where i recommend you start. In order to find the odds of getting dealt a pair of aces, we multiply the probabilities of receiving each card: The game is played with a pack containing 52 cards in 4 suits, consisting of: Starting with the player to the dealer's left, the dealer deals each player five cards, clockwise, one card at a time (face down with real. The results were gathered and the outcome is the book (draw poker odds: See the notes page for an explanation of how to apply all the probabilities. Click edit on a card to assign a value to that card. Probabilities in five card stud poker;

If two or more hands are winners, it's a split pot and the chips should be split among the winners.

In the standard game of poker, each player gets 5 cards and places a bet, hoping his cards are better than the other players' hands. See the notes page for an explanation of how to apply all the probabilities. If you have not found any articles or wallpapers you are looking for, you can use our. One person is the dealer. There are 52 5 = 2,598,9604 possible poker hands. Currently you are searching a post about 5 card poker probability calculator images. You can use this calculator while playing or reviewing past hands to work out the odds of you winning or losing. The game is played with a pack containing 52 cards in 4 suits, consisting of: The development of probability theory in the late 1400s was attributed to gambling; 11 comments on poker hands probability calculator for any number of suits and ranks (denominations) after purchasing a 5 suited deck of cards and an 8 suited deck of cards , i decided to work out how the numbers of suits affect the probabilities of each poker hand. Below, we calculate the probability of each of the standard kinds of poker hands. Click edit on a card to assign a value to that card. Cards with no value assigned are treated as being face down with unknown values.

Calculate the probability of 3 of a kind: Click edit on a card to assign a value to that card. All 1 suit, 2 different suits, 3 different suits or 4 different suits. Probability and gambling have been ideas since long before the invention of poker. If you have not found any articles or wallpapers you are looking for, you can use our.

Poker Odds Know Your Math And Vital Calculations For 2021
Poker Odds Know Your Math And Vital Calculations For 2021 from www.mypokercoaching.com
First calculate the total number of possible hands in a 52 card deck: A poker hand consists of 5 unordered cards from a standard deck of 52. In the standard game of poker, each player gets 5 cards and places a bet, hoping his cards are better than the other players' hands. Probabilities in five card stud poker; The probability of obtaining a given type of hands (e.g. Three of a kind) is the number of possible hands for that type over 2,598,960. You can use this calculator while playing or reviewing past hands to work out the odds of you winning or losing. Probability and gambling have been ideas since long before the invention of poker.

We always try our best to present a post with quality images and informative articles.

If you have not found any articles or wallpapers you are looking for, you can use our. (see probabilities for 5 card poker hands with misc. All 1 suit, 2 different suits, 3 different suits or 4 different suits. In order to find the odds of getting dealt a pair of aces, we multiply the probabilities of receiving each card: Three of a kind) is the number of possible hands for that type over 2,598,960. You can use this calculator while playing or reviewing past hands to work out the odds of you winning or losing. The results were gathered and the outcome is the book (draw poker odds: How to use the poker odds calculator. Probability and gambling have been ideas since long before the invention of poker. An odds calculator is a handy tool for all poker players to quickly get the right probabilities for any scenario at the table. Find on google play & app store. Poker texas hold 'em probability calculator / simulator. However, you have a shortcut to apply correct poker math on the go and quickly calculate the probability of hitting your hand while playing.

0 Response to "5 Card Poker Probability Calculator - Draw Poker Sites Best Places To Play Draw Poker Online"

Posting Komentar